您现在的位置:
首页
>
政府信息公开
>
区政府工作部门
>
住建局
>
公示公告
索引号:jsqzjj/2025-2312555
发布机构:君山区人民政府
生成日期:2025-09-08 15:48:23
公开日期:2025-09-08
公开方式:政府网站
公开范围:全部公开
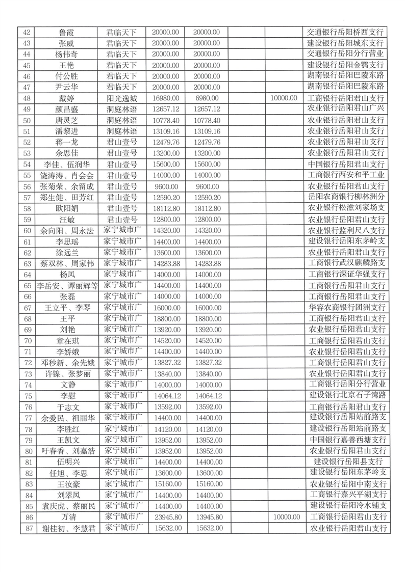
君山区购房人财政补贴公示名单
来源:君山区住房和城乡建设局
日期: 2025-09-08
浏览量:
1
|
|
|
|